Class 10th Maths बहुपद (प्रश्नावली 2.3)
देने पर भागफल तथा शेषफल ज्ञात कीजिए :
(ii) p (x) = x4 – 3x2 + 4x + 5, g (x) = x2 + 1 – x
(iii) p (x) = x4 – 5x + 6, g (x) = 2 – x2
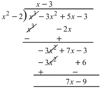
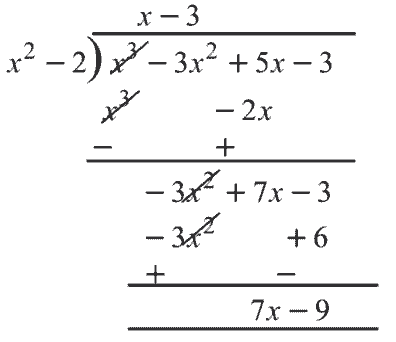
हल : (i) दिया है कि p(x) = x3 – 3x2 + 5x – 3
और g(x) = x2 – 2

विभाजन एल्गोरिथ्म से,
????3 – 3????2 + 5???? – 3 = (???? – 3) (????2 – 2) + (7???? – 9)
अतः, भागफल = ???? – 3 और शेषफल = 7???? – 9
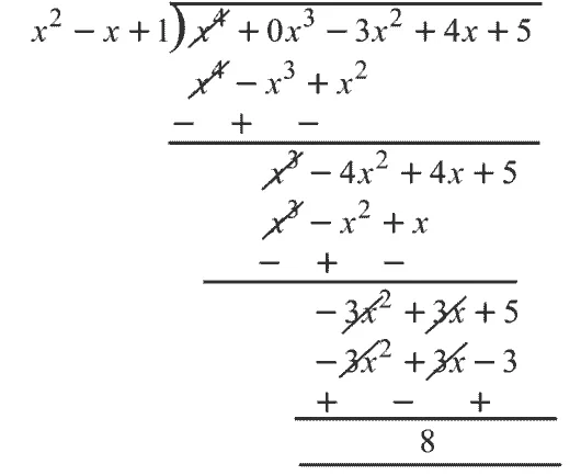
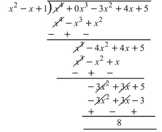
(ii) दिया है कि p(????) = ????4 – 3????2 + 4???? + 5
या p (????) = ????4 + 0????3 – 3????2 + 4???? + 5
और g (????) = ????2 + 1 – ????
या g (????) = ????2 – ???? + 1

विभाजन एल्गोरिथ्म से, ????4 – 3????2 + 4???? + 5 = (????2 + ???? – 3) (????2 – x + 1) + 8
अतः, भागफल = ????2 + ???? – 3
और शेषफल = 8
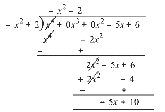
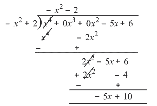
दिया है कि p(????) = ????4 – 5???? + 6
या p(????) = ????4 + 0????3 + 0????2 – 5???? + 6
और g(????) = 2 – ????2
या g(????) = – ????2 + 2

विभाजन एल्गोरिथ्म से,
????2 – 5???? + 6 = (- ????2 – 2) (-????2 + 2) + (-5???? + 10)
अतः भागफल = – ????2 – 2,
शेषफल = – 5???? + 10
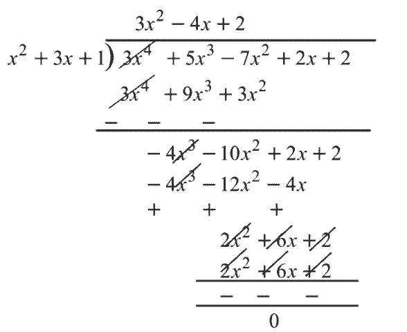
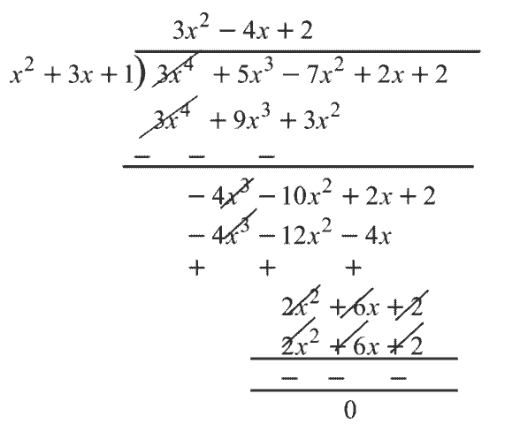
(ii) ????2 + 3???? + 1,3????2 + 5????3 – 7????2 + 2???? + 2
(iii) ????3 – 3???? + 1, ????5 – 4????3 + ????2 + 3???? + 1
हल : (i)

∵ शेषफल शून्य है।
∴ विभाजन एल्गोरिथ्म से
t2 – 3, 2t4 + 3t3 – 2t2 – 9t – 12 का गुणनखंड है।
(ii) ????2 + 3???? + 1, 3????2 + 5????3 – 7????2 + 2????

∵ शेषफल शून्य है।
∴ विभाजन एल्गोरिथ्म से
????2 + 3???? + 1, 3????4 + 5????3 – 7????2 + 2???? + 2 का गुणनखंड है।
(iii) ????3 – 3???? + 1, ????5 – 4????3 + ????2 + 3???? + 1

∵ शेषफल शून्य नहीं है
∴ विभाजन एल्गोरिथ्म से. ????3 – 3???? + 1,
????5 – 4????3 + ????2 + 3???? + 1 का गुणनखंड नहीं है।
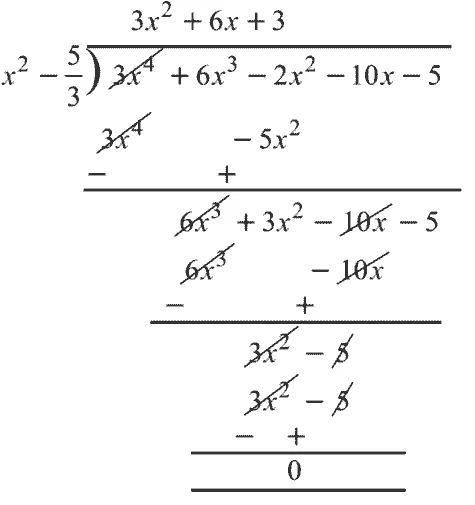
हल : दिया है कि दो शून्य
दिये गए बहुपद के गुणनखंड हैं।या
दिये गए बहुपद के गुणनखंड हैं।
और दिये गए बहुपद और
पर विभाजन एल्गोरिथ्म का प्रयोग करने पर,

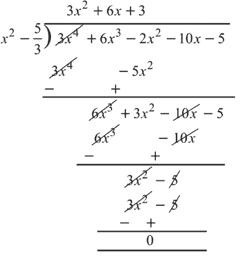
∴ 3????4 + 6????3 – 2????2 – 10???? – 5
S = 2, P = 1![]()
![]()
![]()
![]()
अब, बहुपद के अन्य शून्यक दिए गए हैं
???? + 1 = 0 या ???? + 1 = 0
???? = – 1 या ???? = – 1
∴ दी गई चार घात वाली बहुपद के शून्यक हैं :![]()
p(????) = ????3 – 3????3 + ???? + 2
और q(????) = (???? – 2)
और r(????) = – 2???? + 4
दिए गए आँकड़ों की विभाजन एल्गोरिथ्म से तुलना करने पर हम प्राप्त करते हैं :
p(????) = g(????). q(????) + r(????)
या p(????) – r(????) = g(????). q (x)
या g (x). q(x) = p(x) – r (x)
या
भिन्न-भिन्न मान प्रतिस्थापित करने पर हम प्राप्त करते हैं :
हम,

….(2)
(1) और (2), से हम प्राप्त करते हैं
g(????) = ????2 – ???? + 1
(iii) घात q(????) = घात r(????)
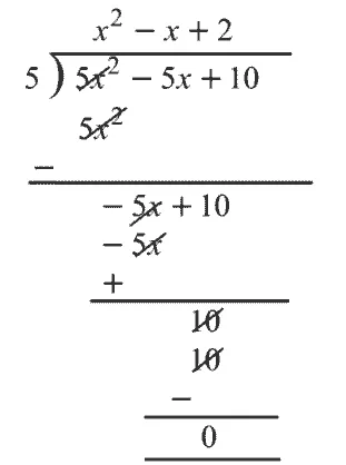
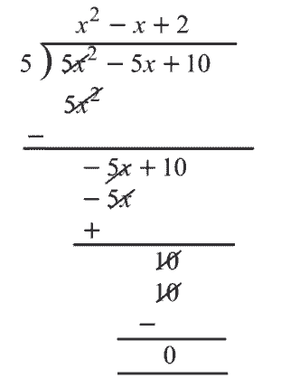
हल : (i) हल p(????) = 5????2 – 5???? + 10; g(????) = 5
q(????) = ????2-???? + 2;r (????) = 0

∴ विभाजन एल्गोरिथ्म से
5????2 – 5???? + 10 = 5(????2 – ???? + 2) + 0
या p(????) = g(????) q(????) + r (????)
साथ ही, p(????) की घात = q(????) की घात = 2
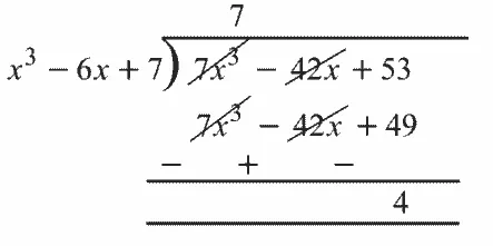
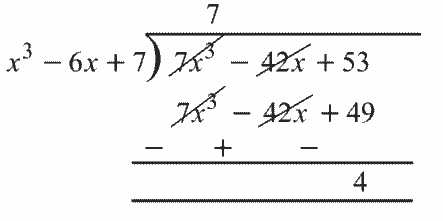
(ii) मान लीजिए p(????) = 7????3 – 42???? + 53;
g(????) = ????3 – 6x + 7;
q(????) = 7; r (????) = 4

∴ विभाजन एल्गोरिथ्म से,
7????3 – 42???? + 53 = 7 (????3 – 6x + 7) + 4
या p(????) = q(????) g(????) + r(????)
साथ ही घात q(x) = 0
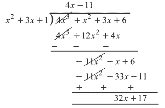
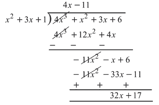
(iii) मान लीजिए p(????) = 4????3 + ????3 + 3???? + 6;
g(????) = ????2 + 3???? + 1;
q(????) = 4???? – 11; r(x) = 32???? + 17

∴ विभाजन एल्गोरिथ्म से,
4????3 + ????2 + 3???? + 6
= (4???? – 11) (????2 + 3???? + 1) + (32???? + 17)
या p(????) = q(????) g(????) + r(x)
साथ ही घात q(x) = घात r(x)