Class 8 Maths Chapter 9 – बीजीय व्यंजक एवं सर्वसमिकाएँ
NCERT Solutions Class 8 Maths Chapter 9 बीजीय व्यंजक एवं सर्वसमिकाएँ – जो विद्यार्थी 8 कक्षा में पढ़ रहे है एनसीईआरटी समाधान कक्षा 8 गणित अध्याय 9 यहाँ से प्राप्त करें .कक्षा 8 के छात्रों के लिए यहाँ पर गणित विषय के अध्याय 9 का पूरा समाधान दिया गया है। जो भी गणित विषय में अच्छे अंक प्राप्त करना चाहते है उन्हें यहाँ पर एनसीईआरटी समाधान कक्षा 8 गणित अध्याय 9. (बीजीय व्यंजक एवं सर्वसमिकाएँ) का पूरा हल मिल जायेगा। जिससे की छात्रों को तैयारी करने में किसी भी मुश्किल का सामना न करना पड़े। इस NCERT Solutions For Class 8th Maths Chapter 9 Algebraic Expressions and Identities की मदद से विद्यार्थी अपनी परीक्षा की तैयारी अच्छे कर सकता है और परीक्षा में अच्छे अंक प्राप्त कर सकता है.
| Class | Class 8 |
| Subject | Maths |
| Chapter | Chapter 9 |
| Chapter Name | बीजीय व्यंजक एवं सर्वसमिकाएँ |
NCERT Solutions For Class 8 गणित Chapter 9 बीजीय व्यंजक एवं सर्वसमिकाएँ
Class 8 Maths बीजीय व्यंजक एवं सर्वसमिकाएँ Ex 9.1
Class 8 Maths बीजीय व्यंजक एवं सर्वसमिकाएँ Ex 9.2
Class 8 Maths बीजीय व्यंजक एवं सर्वसमिकाएँ Ex 9.3
Class 8 Maths बीजीय व्यंजक एवं सर्वसमिकाएँ Ex 9.4
Class 8 Maths बीजीय व्यंजक एवं सर्वसमिकाएँ Ex 9.5
बीजीय व्यंजक एवं सर्वसमिकाएँ के बहुविकल्पीय प्रश्न
Class 8 गणित Chapter 9 बीजीय व्यंजक एवं सर्वसमिकाएँ (प्रश्नावली 9.1)
(i) 5xyz2 – 3zy (ii) 1 + x + x2 (iii) 4x2y2-4x2y2z2 + z2
(iv) 3 – pq + qr – rp (v)
| व्यंजक | पद | गुणांक | |
| (i) | 5xyz2 – 3zy | 5xyz2 – 3zy | 5 – 3 |
| (ii) | 1 + x + x2 | 1 x x2 | 1 1 1 |
| (iii) | 4x2y2z2+z2 | 4x2y2 -4x2y2z2 | 4 – 4 1 |
| (iv) | 3 – pq + qr – rp | 3 – pq qr – rp | 3 – 1 1 – 1 |
| (v) |
|
– 1 | |
| (vi) | 0.3α – 0.6αb + 0.5b | 0.3α – 0.6 αb 0.5b | 0.3 – 0.6 0.5 |
x + y, 1000, x + x2 + x3 + x4, 7 + y + 5x, 2y – 3y2, 2y – 3y2 + 4y3, 5x – 4y + 3xy, 4z – 15z2, αb + bc + cd + dα, pqr,p2q + pq2, 2p + 2q
हल : दिए गए बहुपदों के अनुसार –
(i) एकपदी – 1000, pqr
(ii) द्विपदी – x + y, 2y – 3y2, 4z – 15z2, p2q + pg2, 2p + 2q
(iii) त्रिपदी – 7 + y + 5x, 2y – 3y2 + 4y3, 5x – 4y + 3ry
(iv) वे बहुपद जो उपरोक्त श्रेणियों में नहीं आते हैं – x + x2 + x3 + x4 αb + bc + cd + dα
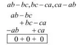
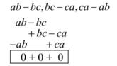
(i) αb – bc, bc – cα, cα – αb
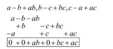
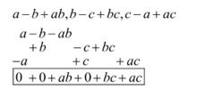
(ii) α – b + αb, b – c + bc,c – α + αc
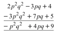
(iii) 2p2q2 – 3pq + 4,5 + 7pq – 3p2q2
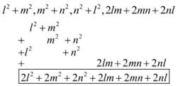
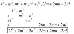
(iv) l2+m2,m2 + n2,n2 + l2,21m + 2mn + 2nl
दिए गए व्यंजकों के समान पदों को एक-दूसरे के नीचे लिखकर हम योग ज्ञात करेंगे
(i) 
अतः योगफल = 0 उत्तर
(ii)
अतः योगफल = αb + bc + αc उत्तर
(iii) 
अतः योगफल = – p2q2 + 4pq + 9 उत्तर
(iv) 
अतः योगफल = 2l2 + 2m2 + 2n2 + 2lm + 2mm + 2nl
= 2(l2 + m2 + n2 + lm + mm + nl) उत्तर
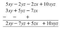
(b) 5xy – 2yz – 2zx + 10xyz में से 3xy + 5yz – 7zx को घटाइए।
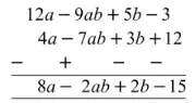
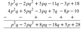
(c) 18 – 3p – 11q + 5pq – 2pg2 + 5p2q में से 4p2q – 3pg + 5pq2 – 8p + 7q-10 को घटाइए।
घटाने के लिए दिए गए व्यंजकों के समान पदों को एक-दूसरे के नीचे लिखा जाएगा –
(a) 
(b) 
(c) 
Class 8 गणित Chapter 9 बीजीय व्यंजक एवं सर्वसमिकाएँ (प्रश्नावली 9.2)
(i) 4,7p (ii) – 4p, 7p (iii) – 4p,7pq (iv) 4p3, – 3p (v) 4p,0
हल : (i) 4 x 7p = (4 x 7) x p = 28p उत्तर
(ii) – 4p x 7p = (- 4 x 7) x (p x p) = – 28p1+1
= – 28p2 उत्तर
(iii) – 4p x 7pq = (- 4 x 7) x (p x p x q) = – 28p1+1q
= – 28p2q उत्तर
(iv) 4p3 x (- 3p) = [4 x (- 3)] x [p3 x p] = – 12p3+1
= – 12p4 उत्तर
(v) 4p x 0 = (4 x 0) x p = 0 x p
= 0 उत्तर
हम जानते हैं कि आयत का क्षेत्रफल = लंबाई x चौड़ाई
दिए गए पदों के पहले पद को लंबाई तथा दूसरे पद को चौड़ाई मानते हुए हम आयतों का क्षेत्रफल पदों के गुणनफल द्वारा ज्ञात करेंगे।
(i) p और भुजाओं वाले आयत का क्षेत्रफल = p x q
= pq उत्तर
(ii) 10m और 5n भुजाओं वाले आयत का क्षेत्रफल = 10m x 5n
= (10 x 5) x (m x n)
= 50 mn उत्तर
(iii) 20????2 और 5y2 भुजाओं वाले आयत का क्षेत्रफल = 20????2 x 5y2
= (20 x 5) x (????2 x y2)
= 100 x2y2 उत्तर
(iv) 4???? और 3????2 भुजाओं वाले आयत का क्षेत्रफल = 4???? x 3????2
= (4 x 3) x (???? x ????2)
= 12 ????3 उत्तर
(v) 3mm और 4np भुजाओं वाले आयत का क्षेत्रफल = 3mm x 4np
= (3 x 4) x (m x n x n x p)
= 12 mn????2p उत्तर
| प्रथम एकपदी → द्वितीय एकपदी ↓ | 2???? | – 5y | 3????2 | – 4????y | 7????2y | – 9????2y2 |
| 2???? | 4????2 | …. | …. | ….. | …. | ….. |
| – 5y | … | …. | – 15????2y | ….. | ….. | ….. |
| 3????2 | …. | … | … | … | … | … |
| – 4????y | …. | … | … | … | … | … |
| 7????2y | …. | …. | … | … | …. | … |
| -9????2y2 | … | … | … | … | …. | … |
हल :
| प्रथम एकपदी → द्वितीय एकपदी ↓ | 2???? | – 5y | 3????2 | – 4????y | 7????2y | – 9????2y2 |
| 2???? | 4????2 | -10????y | 6????3 | -8????2y | -14????3y | -18????3y2 |
| – 5y | -10????y | 25y2 | – 15????2y | 20????y2 | -35????2y2 | 45????2y2 |
| 3????2 | 6????3 | -15????2y | 9????4 | -12????3y | 21????4y | – 27????4y2 |
| – 4????y | – 8????2y | 20????y2 | -123y | 16????2y2 | -28????3y2 | 36????3y3 |
| 7????2y | 14????3y | – 35????2y2 | 21????4y | -28????3y2 | 49????4y2 | -63????4y3 |
| -9????2y2 | – 18????3y2 | 45????2y3 | -27????2y3 | 36????3y3 | -63????4y3 | 81????4y4 |
(i) 5α, 3α2,7α4
(ii) 2p, 4q, 8r
(iii) xy, 2????2y, 2????y2
(iv) α, 2b, 3c
हम जानते हैं कि आयताकार बक्सों का आयतन = लंबाई x चौड़ाई x ऊँचाई
अतः दिए गए पदों के गुणनफल से हमें आयताकार बक्सों का आयतन प्राप्त होगा
(i) वांछित आयतन = 5α x 3α2 x 7α4
= (5 x 3 x 7)x (α x α2 x α4)
= 105α1+2+4 = 105α7 उत्तर
(ii) वांछित आयतन = 2p x 4q x 8r
= (2 x 4 x 8) x (p x q x r)
= 64pqr उत्तर
(iii) वांछित आयतन = ????y x 2????2y x 2xy2
= (1 x 2 x 2) x (???? x ????2 x ???? x y x y x y2)
= 4????1+2+1y1 + 1 + 2 = 4????4y4 उत्तर
(iv) वांछित आयतन = α x 2b x 3c
= (1 x 2 x 3) x (α x b x c)
= 6 αbc उत्तर
(i) xy,yz, zx (ii) α,- α2, α3 (iii) 2, 4y, 8y2, 16y3 (iv) α, 2b, 3c, 6abc (v) m,-mn, mnp
(i) ????y, yz और z???? का गुणनफल = ????y x yz x z????
= ???? x ???? x y x y x z x z
= ????2 y2 z2 उत्तर
(ii) α,- α2 और α3 का गुणनफल = α x (- α) x α3
= [1 x (- 1) x 1] x (α x α2 x α3]
= – 1 α1 + 2 + 3
= -1α6 उत्तर
(iii) 2,4y, 8y2 और 16y3 का गुणनफल = 2 x 4y x 8y2 x 16y3
= (2 x 4 x 8 x 16) (y x y2 x y2)
= 1024 y1+2+3 = 1024y6 उत्तर
(iv) α, 2b,3c तथा 6αbc का गुणनफल = α x 2b x 3c x 6αbc
= (1 x 2 x 3 x 6) (α x α x b x b x c x c)
= 36α1+1 b1+1 c1+1 = 36α2b2c2 उत्तर
(v) m, – mm और mmp का गुणनफल = m x (- mm) x mmp
= [1 x (- 1) x 1] x (m x m x m x n x n x p)
= – 1m1+1 n1+1 .nl+1.pl
= -1 m?np UTRE
Class 8 गणित Chapter 9 बीजीय व्यंजक एवं सर्वसमिकाएँ (प्रश्नावली 9.3)
(i) 4p, q + r (ii) ab,a-b (iii) a+b,7α2b2
(iv) α2 – 9,4a (v) pq + qr + rp,0
(i) 4p x (q + r) = 4p x q + 4p x r = 4pq + 4pr उत्तर
(ii) αb x (α – b) = αb x α – αb x b = α2b – αb2 उत्तर
(iii) (α + b) x 7α2 – b2 = α x 7α2b2 + b x 7α2b2
= 7α3b2 + 7α22b3 उत्तर
(iv) (α2 – 9) x 4α = 4α x α2 – 4α x 9
= 4α3 – 36α उत्तर
(v) (pq + qr + rp) x 0 = 0 उत्तर
| प्रथम व्यंजक | द्वितीय व्यंजक | गुणनफल | |
| (i) (ii) (iii) (iv) (v) | α ???? + y – 5 p 4p2q2 α + b + c | b + c + d 5 ????y 6p2 – 7p + 5 p2 – q2 αbc | …….. …….. …….. ……… ………. |
हल :(i) α x (b + c + d) = α x b + α x c + α x d
= αb+ αc + αd उत्तर
(ii) (???? + y – 5) x 5????y = ???? x 5????y + y x 5????y – 5 x 5????y
= 5????2y + 5????y2 – 25????y उत्तर
(iii) p x (6p2 – 7p + 5) = p x 6p2 – p x 7p + p x 5
= 6p3 – 7p2 + 5p उत्तर
(iv) 4p2q2x (p2 – q2) = 4p2 – q2 x p2 – 4p2q2 x q2
= 4p4q2 – 4p2q4 उत्तर
(v) (α + b + c) x αbc = α x αbc + b x αbc + c x αbc
= α2bc + αb2c + abc2 उत्तर
(i) (α2 x (2α22) x (4α26)
(ii) ![]()
(iii) ![]()
(iv) ???? x ????2 x ????3 x ????4
हल : (i) (α2) x (2α22) x (4α26) = (1 x 2 x 4) x (α2 x α22 x α26)
= 8α2+22+26 + 8α50 उत्तर
(ii) ![]()
![]()
(iii) ![]()
= – 4p1+3 q3+1
= – 4p4 q4
(iv) ???? x ????2 x ????3 x ????4 = ????1+2+3+4 = ????10 उत्तर
प्रश्न 4. (a) 3???? (4???? – 5) + 3 को सरल कीजिए और (i) ???? = 3 एवं (ii) Simple! This is an alert message. के लिए इसका मान ज्ञात कीजिए।
(b) α(α2 + α + 1) + 5 को सरल कीजिए और (i) α = 0, (ii) α = 1 एवं (ii) α = – 1 के लिए इसका मान ज्ञात कीजिए।
(a) 3???? (4???? – 5) + 3 = 3???? x 4???? – 3???? x 5 + 3
= 12????2 – 15???? + 3 उत्तर
(i) ???? = 3 के लिए 12????2 – 15???? + 3 = 12 (3)2 – 15 (3) + 3
= 12 x 9 – 45 + 3 = 108 – 45 + 3
= 111 – 45 = 66 उत्तर
(ii)
के लिए 12????2 – 15???? + 3 = ![]()
![]()
![]()
उत्तर
(b) α(α2 + α + 1) + 5 = α x α2 + α x α + α x 1 + 5
= α3 + α2 + α + 5 उत्तर
(i) α = 0 के लिए α3 + α2 + α + 5 = (0)3 + (0)2 + 0 + 5
= 0 + 0 + 0 + 5 = 5 उत्तर
(ii) α = 1 के लिए α3 + α2 + α + 5 = (1)3 + (1)2 + (1) + 5
= 1 + 1 + 1 + 5 = 8 उत्तर
(iii) α = -1 के लिए α3 + α2 + α + 5 = (-1)3 + (-1)2 + (- 1) + 5
= – 1 + 1 – 1 + 5 = 6 – 2 = 4 उत्तर
(b) 2???? (z – ???? – y) एवं 2y (z – y – ????) को जोड़िए।
(c) 4l (10n – 3m + 2l) में से 3l (l – 4m + 5n) को घटाइए।
(d) 4c ( – α + b + c) में से 3α (α + b + c) – 2b (α – b + c) को घटाइए।
(a) p(p – q) + q (q – r) + r (r – p) = p x p – p x q + q x q – q x r + r x r – p x r
= p2 – pq + q2 – qr + 22 – pr
= p2 + q2 + r2 – pq – qr – pr उत्तर
(b) 2???? (z – ???? – y) + 2y (z – y – x) = 2???? x z – 2???? x ???? – 2???? x y + 2y x z – 2y x y – 2y x ????
= 2????z – 2????2 – 2xy + 2yz – 2y2 – 2yx
= – 2????2 – 2y2 – 4xy + 2yz + 2zx उत्तर
(c) 4l (10n – 3m + 2l) – 3l (l – 4m + 5n) = 4l x 10n – 4l x 3m + 4l x 2l – 3l x l + 3l x 4m – 3l x 5n
= 40ln – 12lm + 8l2 – 3l2 + 12lm – 15In
= 8l2 – 3l2 + 40ln – 15ln – 12lm + 12lm
= 5l2 + 25In उत्तर
(d) 4c (- α + b + c) – [3α (α + b + c) – 2b (c – b + c)]
= 4c (- α + b + c) – 3α (α + b + c) + 2b (α – b + c)
= – 4αc + 4bc + 4c2 – 3α2 – 3αb – 3αc + 2αb – 2b2
= – 3α2 – 2b2 + 4c2 + (- 3αb + 2αb) + (4bc + 2bc) + (- 4αc – 3αc)
= – 3α2 – 2b2 + 4c2 – αb + 6bc -7αc उत्तर
Class 8 गणित Chapter 9 बीजीय व्यंजक एवं सर्वसमिकाएँ (प्रश्नावली 9.4)
(i) (2???? + 5) और (4???? – 3) (ii) (y – 8) और (3y – 4) (iii) (2.5l – 0.5m) और (2.5l + 0.5m)
(iv) (α + 3b) और (???? + 5) (v) (2pg + 3g2) और (3pg – 2q2)
(vi)
(i) (2???? + 5) x (4???? – 3) = 2???? x (4???? – 3) + 5 x (4???? – 3)
= 8????2 – 6???? + 20???? – 15
= 8????2 + 14???? – 15 उत्तर
(ii) (y – 8) x (3y – 4) = y x (3y – 4) – 8 x (3y – 4)
= 3y2 – 4y – 24y + 32
= 3y2 – 28y + 32 उत्तर
(iii) (2.5l – 0.5m) x (2.5l + 0.5m) = 2.51 x (2.51 + 0.5m) – 0.5m x (2.51 + 0.5m)
= 6.25l2 + 1.25lm – 1.25lm – 0.25m2
= 6.25l2 – 0.25m2 उत्तर
(iv) (α + 3b) x (???? + 5) = ???? x (???? + 5) + 3b x (???? + 5)
= α???? + 5???? + 3b???? + 15b उत्तर
(v) (2pq + 3q2) x (3pq – 2q2) = 2pq x (3pq – 2q2) + 3q2 x (3pq – 2q2)
= 6p2q2 – 4 pq3 + 9pq2 – 6q4
= 6p2q2 + 5pq3 – 6q4 उत्तर
(vi) ![]()
![]()
![]()
= 3α4 – 2α2 b2 + 12α2b2 – 8b4
= 3α4 + 10α2 b2 – 8b4 उत्तर
(i) (5 – 2????) (3 + ????) (ii) (???? + 7y) (7???? – y) (iii) (α2 + b) (α + b2)
(iv) (p2 -q2) (2p + q)
(i) (5 – 2????) (3 + ????) = 5 x (3 + ????) – 2???? x (3 + ????)
= 15 + 5???? – 6???? – 2 x 2
= – 2????2 – ???? + 15 उत्तर
(ii) (???? + 7y) (7???? – y) = ???? x (7???? – y) + 7y x (7x – y)
= 7????2 – ????y + 49????y -7y2
= 7????2 + 48????y – 7y2 उत्तर
(iii) (α2 + b) (α + b2) = α2 x (α + b2) + b x (α + b2)
= α3 + α2b2 + αb + b3 उत्तर
(iv) (p2 – q2) (2p + q) = p2 x (2p + q) – q2 – (2p + q)
= 2p3 + p2q – 2pq – q3 उत्तर
(i) (x2 – 5) (x + 5) + 25
(ii) (α2 + 5) (b3 + 3) + 5
(iii) (t + s2) (t2 – s)
(iv) (α + b) (c – d) + (α – b) (c + d) + 2 (αc + bd)
(v) (???? + y) (2???? + y) + (???? + 2y) (???? – y)
(vi) (???? + y) (????2 – ????y + y2)
(vii) (1.5???? – 4y) (1.5???? + 4y + 3) – 4.5???? + 12y
(viii) (α + b + c) (α + b – c)
(i) (????2 – 5) (???? + 5) + 25 = ????2 x (???? + 5) – 5 x (???? + 5) + 25
= ????3 + 5????2 – 25 + 25
= ????3 + 5????2 – 5???? उत्तर
(ii) (α2 + 5) (b3 + 3) + 5 = α2 x (b3 + 3) + 5 x (b3 + 3) + 5
= α2b3 + 3α2 + 5b3 + 15 + 5
= α2b3 + 3α2 – + 5b3 + 20 उत्तर
(iii) (t + s2) (t2 – s) = t x (t2 – s) + s2 x (t2 – s)
= t2 – ts + t2s2 – s2 उत्तर
(iv) (α+b) (c-d) + (α-b) (c+d)+2(αc + bd)
= α(c-d)+ b(c-d)+ α(c+d)-b(c+d)+2αc +2bd
= αc-αd + bc-bd + αc+ αd-bc – bd+2αc +2bd
= (αc+αc +2αc) + (-αd + αd) + (bc – bc)+ (-bd – bd + 2bd)
= 4αc+0+0+0=4αc उत्तर
(v) (????+y) (2???? +y) + (???? +2y) (????-y) = ???? (2???? + y) + y (2???? +y) + ???? (????-y)+2y (x-y)
= 2????2 + ????y + 2????y + y2 +????2 – ????y + 2????y – 2y2
= (2????2 + ????2) + (????y + 2????y – ????y + 2????y) + (y2-2y2)
= 3????2 + 4????y – y2 उत्तर
(vi) (???? + y) (????2 – ????y + y2) = ????(????2 – ????y + y2) + y (????2 – ????y + y2)
= ????3 – ????2y + ????y2 + ????2y – ????y2 + y3
= ????3 + (- ????2y + ????2y) + (????y2 – ????y2) + y2
= ????3 + 0 + 0 + y3 = ????3 + y3 उत्तर
(vii) (1.5???? – 4y) (1.5???? + 4y + 3) – 4.5???? + 12y = 1.5???? (1.5???? + 4y + 3) – 4y (1.5???? + 4y + 3) – 4.5???? + 12y
= 2.25????2 + 6.0 ????y + 4.5???? – 6.0????y-16y2 – 12y – 4.5???? + 12y
= 2.25????2 + (6????y – 6????y) + (4.5???? – 4.5????) – 16y2 + (-12y + 12y)
= 2.25????2 + 0 + 0 – 16y2 + 0 = 2.25????2 – 16y2 उत्तर
(viii) (α + b + c) (α + b – c) = α(α + b – c) + b(α + b – c) + c (a + b – c)
= α2 + αb – αc + αb + b2- bc + αc + bc – 2
= α2 + b2 – c2 + (αb + αb) + (- bc + bc) + (- αc + αc)
= α2 + b2– c2 + 2αb + 0 + 0 = α2 + b2-c2 +2αb उत्तर
Class 8 गणित Chapter 9 बीजीय व्यंजक एवं सर्वसमिकाएँ (प्रश्नावली 9.5)
(i) (???? + 3) (???? + 3)
(ii) (2y + 5) (2y + 5)
(iii) (2α – 7) (2α – 7)
(iv) ![]()
(v) (1.1m – 0.4) (1.1m + 0.4)
(vi) (α2 + b2) (- α2 + b2)
(vii) (6???? – 7) (6???? + 7)
(viii) (- α + c) (- α + c)
(ix) ![]()
(x) (7α – 9b) (7α – 9b)
हल :
(i) (???? + 3) (???? + 3) = (???? + 3)2
= (????)2 + 2 x ???? 3 + (3)2 [∵ (α + b)2 = α2 + 2αb + b2]
= ????2 + 6???? + 9 उत्तर
(ii) (2y + 5) (2y + 5) = (2y + 5)2
= (2y)2 + 2 x 2y x 5 + (5)2 [∵ (α + b)2 = α2 + 2αb + b2]
= 4y2 + 20y + 25 उत्तर
(iii) (2α – 7) (2α – 7) = (2α – 7)2
= (2α)2 – 2 x 2α x 7 + (7)2 [∵ (α – b)2 = α2 – 2αb + b2]
= 4α2 – 28α + 49 उत्तर
(iv) ![]()
![]()
[∵ (α – b)2 = α2 – 2αb + b2]
=
उत्तर
(v) (1.1m – 0.4) (1.1m + 0.4) = (1.1m)2 – (0.4)2
[∵ (α – b) (α + b) = α2 – b2] = 1.21m2 – 0.16 उत्तर
(vi) (α2 + b2) (- α2 + b2) = (b2 + α2) (b2 – α2)
[∵ (α – b) (α + b) = α2 – b2]
= (b2)2 – (α2)2
= b4 – α4 उत्तर
(vii) (6???? – 7) (6???? + 7) = (6????)2 – (7)2
[∵ (α – b) (α + b) = α2 – b2] = 36????2 – 49 उत्तर
(viii) (-α + c) (-α + c) = (c – α) (c – α)
= (c – α)2
= (c)2 – 2 x c x α + (α)2
[∵ (α – b)2 = α2 – 2αb + b2]
= c2 – 2αc + α2 उत्तर
(ix) ![]()
![]()
[∵ (α + b)2 = α2 + 2αb + b2]
उत्तर
(x) (7α – 9b) (7α – 9b) = (7α – 9b)2
= (7α)2 – 2 x 7α x 9b + (9b)2
[∵ (α – b)2 = α – 2αb + b2 ]
= 49α2-126αb + 81b2 उत्तर
(i) (???? + 3) (???? + 7) (ii) (4???? + 5) (4???? + 1) (iii) (4???? – 5) (4???? – 1)
(iv) (4???? + 5) (4???? -1) (v) (2???? + 5y) (2???? + 3y) (vi) (2α2 + 9) (2α2 + 5)
(vii) (????yz – 4) (????yz – 2)
हल : (i) (???? + 3) (???? + 7) = ????2 + (3 + 7)???? + 3 x 7
= ????2 + 10???? + 21 उत्तर
(ii) (4???? + 5) (4???? + 1) = (4????)2 + (5 + 1) x 4???? + 5 x 1
= 16????2 + 24???? + 5 उत्तर
(iii) (4???? – 5) (4???? – 1) = [4???? + (-5)] [4???? + (-1)]
= (4????)2 + (- 5 – 1) x 4???? + (- 5) x (-1)
= 16????2 – 24???? + 5 उत्तर
(iv) (4???? + 5) (4???? – 1) = (4???? + 5) [4???? + (-1)]
= (4????)2 + (5 – 1) x 4???? + 5 x (- 1)
= 16????2 + 16???? – 5 उत्तर
(v) (2???? + 5y) (2???? + 3y) = (2????)2 + (5y + 3y) x 2???? + 5y x 3y
= 4????2 + 16????y + 15y2 उत्तर
(vi) (2α2 + 9) (2α2 + 5) = (2α2)2 + (9 + 5) x 2α2 + 9 x 5
= 4α4 + 28α2 + 45 उत्तर
(vii) (????yz – 4) (????yz – 2) = [????yz + (- 4)] [????yz + (-2)]
= (xyz)2 + (- 4 – 2) x ????yz + (- 4) ( – 2)
= ????2y2z2 – 6????yz + 8 उत्तर
(i) (b – 7)2 (ii) (????y + 3z)2 (iii) (6????2 – 5y)2
(iv)
(vi) (2????y + 5y)2
हल :(i) (b – 7)2 = (b)2 – 2 x b x 7 + (7)2
= b2 – 14b + 49 उत्तर
(ii) (????y + 3z)2 = (????y)2 + 2 x ????y x 3z + (3z)2
(iii) (6????2 – 5y2) = (6????2)2 – 2 x 6????2 x 5y + (5y)2
= 36????4 – 60????2y+25y2उत्तर
(iv) ![]()
![]()
(v) (0.4p – 0.5q)2 = (0.4p)2 – 2 x (0.4p) x (0.5q) + (0.5q)2
= 0.16p2 – 0.4pq + 0.25q2 उत्तर
(vi) (2????y + 5y)2 = (2????y)2 + 2 x 2????y x 5y + (5y)2
= 4????2y2 + 20????y2 + 25y2 उत्तर
(i) (α2 – b2)2
(ii) (2???? + 5)2 – (2???? – 5)2
(iii) (7m – 8n)2 + (7m + 8n)2
(iv) (4m + 5n)2 + (5m + 4n)2
(v) (2.5p – 1.5q)2 – (1.5p – 2.5q)2
(vi) (αb + bc)2 – 2αb2c
(vii) (m2 – n2m)2 + 2m2n2
हल : (i) (α2 – b2)2 = (α2)2 – 2 x α2 x b2 + (b2)2
= α4 – 2α2b2 + b4 उत्तर
(ii) (2???? + 5)2 – (2???? – 5)2 = [(2????)2 + 2 x 2???? x 5 + (5)2] – [(2????)2 – 2 x 2???? x 5 + (5)2]
= [4????2 + 20???? + 25] – [4????2 – 20???? + 25]
= 4????2 + 20???? + 25 – 4????2 + 20???? – 25
= 40???? उत्तर
(iii) (7m – 8n)2 + (7m + 8n)2 = [(7m)2 – 2 x 7m x 8n + (8n)2] + [(7m)2 + 2 x 7m x 8n + (8n)2]
= [49m2 – 112mm + 64n2] + [49m2 + 112mm + 64n2]
= 49m2 – 112mm + 64n2 + 49m2 + 112mn + 64n2
= 98m2 + 128n2 – उत्तर
(iv) (4m + 5n) + (5m + 4n)2 = [(4m)2 + 2 x 4m x 5n + (5n)2] + [(5m)2 + 2 x 5m x 4n + (4n)2]
= 16m + 40mm + 25n2 + 25m2 + 40mm + 16n2
= 41m2 + 80mm + 41n2 उत्तर
(v) (2.5p – 1.5q)2 – (1.5p – 2.5q)2 = [(2.5p)2 – 2 x 2.5px 1.5q + (1.5q)2] – [(1.5p)2 – 2 x 1.5p x 2.5q + (2.5q)2]
= [6.25p2 – 7.5pq + 2.25q2] – [2.25p2 – 7.5pq + 6.25q2]
= 6.25p2 – 7.5pq + 2.25q2 – 2.25p2 + 7.5pq – 6.25q2
= 4p2 – 4q2 उत्तर
(vi) (αb + bc)2 – 2αb2c = (αb)2 + 2 x αb x bc + (bc)2 – 2αb2c
= α2b2 + 2αb2c + b2c2 – 2αb2c
= α2b2 + b2c2 उत्तर
(vii) (m2 – n2m)2 + 2m3n2 = (m2)2 – 2 x m2 x n2m + (n2m)2 + 2m3n2
= m4 – 2m3n2 + n4m + 2m3n2
= m4 + n4m2 उत्तर
(i) (3???? + 7)2 – 84???? = (3???? – 7)2
(ii) (9p – 5q)2 + 180pq = (9p + 5q)2
(iii)
(iv) (4pq + 3q)2 – (4pq – 3q)2 = 48pq2
(v) (α – b) (α + b) + (b – c) (b + c) + (c – α) (c + α) = 0
= (3????)2 + 2 x 3???? x 7+ (7)2 – 84????
= 9????2 + 42???? + 49 – 84????
= 9????2 – 42???? + 49
= (3????)2 – 2 x 3???? x 7+ (7)2
= (3???? – 7)2 = दायाँ पक्ष
(ii) बायाँ पक्ष = (9p – 5q)2 + 180pq
= (9p)2 – 2 x 9p x 5q + (5q)2 + 180pq
= 81p2 – 90pq + 25q2 + 180pq
= 81p2 + 90pq + 25q2
= (9p)2 + 2 x 9p x 5q + (5q)2
= (9p + 5q)2 = दायाँ पक्ष
(iii) बायाँ पक्ष ![]()
![]()
![]()
![]()
(iv) बायाँ पक्ष = (4pq + 3q)2 – (4pq – 3q)2
= [(4pq)2 + 2 x 4pq x 3q + (3q)2] – [(4pq)2 – 2 x 4pq x 3q+ (3q)2]
= [16p2q2 + 24pq2 + 9q2] – [16p2q2 – 24pg2 + 9q2]
= 16p2q2 + 24pq2 + 9q2 – 16p2q2 + 24pq2 – 9q2
= 48pq2 = दायाँ पक्ष
(v) बायाँ पक्ष = (α – b) (α + b) + (b – c) (b + c) + (c – α) (c + α)
= α2 – b2 + b2 – c2 + c2 – α2
= 0 = दायाँ पक्ष
(i) 712 (ii) 992 (iii) 1022 (iv) 9982 (v) 5.22
(vi) 297 x 303 (vii) 78 x 82 (viii) 8.92 (ix) 1.05 x 9.5
(i) 712 = (70 + 1)2
= (70)2 + 2 x 70 x 1 + (1)2
= 4900 + 140 + 1 = 5041 उत्तर
(ii) 992 = (100 – 1)2
= (100)2 – 2 x 100 x 1 + (1)2
= 10000 – 200 + 1
= 10001 – 200 = 9801 उत्तर
(iii) 1022 = (100 + 2)2
= (100) + 2x 100 x 2 + (2)2
= 10000 + 400 + 4 = 10404 उत्तर
(iv) 9982 = (1000 – 2)2
= (1000)2 – 2 x 1000 x 2 + (2)2
= 1000000 – 4000 + 4
= 1000004 – 4000 = 996004 उत्तर
(v) 5.22 = (5 + 0.2)2
= (5)2 + 2 x 5 x 0.2 + (0.2)2
= 25 + 2 + 0.04 = 27.04 उत्तर
(vi) 297 x 303 = (300 – 3) (300 + 3)
= (300)2 – (3)2
= 90000 – 9 = 89991 उत्तर
(vii) 78 x 82 = (80 – 2) (80 + 2)
= (80)2 – (2)2
= 6400 – 4 = 6396 उत्तर
(viii) (8.9)2 = (9 – 0.1)2
= (9)2 – 2 x 9 x 0.1 + (0.1)2
= 81 – 1.8 + 0.01 = 79.21 उत्तर
(ix) 1.05 x 9.5 = (1 + 0.05) x 9.5
= 1 x 9.5 + 0.05 x 9.5
= 9.5 + 0.475 = 9.975 उत्तर
(i) 512 – 492 (ii) (1.02)2 – (0.98)2
(iii) 1532 – 1472 (iv) 12.12 – 7.92
(i) (51)2 – (49)2 = (51 + 49) (51 – 49)
= 100 x 2 = 200 उत्तर
(ii) (1.02)2 – (0.98)2 = (1.02 + 0.98) (1.02 – 0.98)
= 2.00 x 0.04 = 0.08 उत्तर
(iii) (153)2 – (147)2 = (153 + 147) (153 – 147)
= 300 x 6 = 1800 उत्तर
(iv) (12.1)2 – (7.9)2 = (12.1 +7.9) (12.1-7.9)
= 20.0 x 4.2 = 84 उत्तर
(i) 103 x 104 (ii) 5.1 x 5.2
(iii) 103 x 98 (iv) 9.7 x 9.8
(i) 103 x 104 = (100 + 3) (100 + 4)
= (100)2 + (3 + 4) x 100 + 3 x 4
= 10000 + 700 + 12 = 10712 उत्तर
(ii) 5.1 x 5.2 = (5 + 0.1) (5 + 0.2)
= (5)2 + (0.1 + 0.2) x 5 + 0.1 x 0.2
= 25 + 1.5 + 0.02 = 26.52 उत्तर
(iii) 103 x 98 = (100 + 3) [100 + (-2)]
= (100)2 + (3 – 2) x 100 + 3 x (-2)
= 10000 + 100 – 6 = 10100-6 = 10094 उत्तर
(iv) 9.7 x 9.8 = (9 + 0.7) (9 + 0.8)
= (9)2 + (0.7 + 0.8) x 9 + 0.7 x 0.8
= 81 + 13.5 + 0.56 = 95.06 उत्तर
इस पोस्ट में आपको Class 8 Maths (गणित) Chapter 9 बीजीय व्यंजक एवं सर्वसमिकाएँ बीजीय व्यंजक एवं सर्वसमिकाएँ Class 8th एनसीईआरटी समाधान कक्षा 8 गणित अध्याय 9 बीजीय व्यंजक एवं सर्वसमिकाएँ Class 8 Maths Chapter 9 Algebraic Expressions And Identities class 8 maths exercise 9.4 solutions algebraic expressions and identities class 8 pdf Ch 9 Algebraic Expressions and Identities Full Ex 9.3 || Ch 9 बीजीय व्यंजक एवं सर्वसमिकाएँ से संबंधित काफी महत्वपूर्ण जानकारी दी गई है यह जानकारी फायदेमंद लगे तो अपने दोस्तों के साथ शेयर करें और इसके बारे में आप कुछ जानना यह पूछना चाहते हैं तो नीचे कमेंट करके अवश्य पूछे.