NCERT Solutions for Class 9th Science Chapter 8. गति
Class 9th Science Chapter 8. गति – नौवीं कक्षा के विद्यार्थियों जो अपनी क्लास में सबसे अच्छे अंक पाना चाहता है उसके लिए यहां पर एनसीईआरटी कक्षा 9th विज्ञान अध्याय 8 (गति) के लिए समाधान दिया गया है. इस NCERT Solutions For Class 9th Science Chapter 8. Motion की मदद से विद्यार्थी अपनी परीक्षा की तैयारी कर सकता है और परीक्षा में अच्छे अंक प्राप्त कर सकता है. अगर आपको यह समाधान फायदेमंद लगे तो अपने दोस्तों को शेयर जरुर करे . हमारी वेबसाइट पर सभी कक्षाओं के सलूशन दिए गए है .
पाठ्य-पुस्तक के प्रश्न (Textual Questions)
हाँ, इसका विस्थापन शून्य हो सकता है।
उदाहरण – मान लीजिए, एक वस्तु बिंदु 0 से चलकर बिंदु A पर पहुँचता है तथा वापस बिंदु 0 पर आ जाता है तब प्रारंभिक तथा अंतिम बिंदु के बीच की न्यूनतम दूरी अर्थात विस्थापन = 0 (शून्य) होगा।
उत्तर – खेत की सीमा = AB + BC + CD + DA
= 10 + 10 + 10 + 10 = 40
कुल समय = 2 मिनट 20 सेकेंड
= 2 x 60 + 20
= 120 + 20 = 140 सेकेंड।

अब 40 सेकेंड में तय की गई दूरी = 40 मीटर
.:. 1 सेकेंड में तय की गई दूरी = 1 मीटर
10 | 140 सेकेंड में तय की गई दूरी = 1 x 140 = 140 मीटर
यदि किसान मूल बिंदु A से चलना आरंभ करता है तो वह 140 मीटर की दूरी तय करने के बाद बिंदु C पर होगा।
अर्थात् किसान का विस्थापन AC होगा।

= 10 x 1.44 = 14.14 मीटर
(a) यह शून्य नहीं हो सकता।
(b) इसका परिमाण वस्तु के द्वारा तय की गई दूरी से अधिक होता है।
उत्तर- दोनों में से कोई भी उत्तर सही नहीं है।
| चाल | वेग |
| 1. यह किसी भी दिशा में किसी वस्तु के द्वारा एकांक समय अंतराल में तय की गई दूरी होती है। 2. यह सदा धनात्मक होती है। 3. यह एक अदिश राशि है जिस में केवल परिमाण होता है। 4. चलती वस्तु की चाल कभी शून्य नहीं हो सकती। | 1. यह एक निश्चित दिशा में किसी वस्तु के द्वारा एकांक समय अंतराल में तय की गई दूरी है 2. यह धनात्मक और ऋणात्मक दोनों होती है। 3. यह एक सदिश राशि है जिस में परिमाण और दिशा दोनों होते हैं। 4. औसत वेग शुन्य हो सकता है। |
जब वस्तु सीधी रेखा में गति कर रही है तो इसके औसत वेग का परिमाण उसी की औसत चाल के बराबर होगा।
गाड़ी के द्वारा तय की गई दूरी को।
एक सीधी सरल रेखीय।
(सिग्नल की चाल = प्रकाश की चाल = 3 x 108 ms-1)
सिग्नल की चाल = 3 x 108 ms-1
सिग्नल को पृथ्वी तक पहुँचने में लगा समय = 5 मिनट = 5 x 60 = 300 second
पृथ्वी पर स्थित स्टेशन से अंतरिक्षयान की दूरी = चाल x समय = 3 x 108 x 300 = 9 x 1010 मीटर
(I) वह एक समान त्वरण से गति में है ?
(II) वह असमान त्वरण से गति में है ?
I) जब वस्तु सीधी सरल रेखा में चलती है और इसका वेग समान समय अंतराल में समान रूप से घटता या बढ़ता है।
(II) जब वस्तु का वेग असमान रूप से समान समय अंतराल में बदलता रहता है।
उत्तर –
प्राम्भिक वेग , u = 80km h-1=
![]()
अंतिम वेग , v = 60 km h-1 =

समय , t = 5 s


![]()
प्राम्भिक वेग , u = 0
अंतिम वेग , v = 40 km h-1

t = 10 m = 10 x 60 = 600 s


किसी वस्तु की एक समान गति के लिए समय-दूरी ग्राफ एक सरल रेखा होती है।
ग्राफ में OA भाग यह प्रकट करता है कि दूरी एक समान दर से बढ़ रही है।

किसी वस्तु की असमान गति के लिए समय-दूरी ग्राफ किसी भी आरेखीय आकार का हो सकता है। ग्राफ में OA असमान गति दर्शाता है।

जब दूरी समय ग्राफ में समय अक्ष के समानांतर एक सरल रेखा होती है तो वस्तु की गति के विषय में यह ज्ञात होता है कि उसकी दूरी एक समान ही है। वह समय के अनुसार अपनी स्थिति को नहीं बदल रही इसलिए वस्तु स्थिर है।

जब चाल-समय ग्राफ में समय अक्ष के समानांतर एक सरल रेखा होती है और ऊँचाई में कोई अंतर नहीं होता तब यह स्पष्ट होता है कि वस्तु एक समान वेग से गतिमान है।

वेग-समय ग्राफ़ के नीचे के क्षेत्र से मापी गई राशि वस्तु द्वारा तय की गई दूरी को दर्शाता है|
(a) प्राप्त की गई चाल
(b) तय की गई दूरी हल :
बस की प्रारंभिक चाल, u = 0
त्वरण, a = 0.1 ms-2
समय, t = 2 मिनट = 120 s
(a) v = u + at
= 0 + 0.01 × 120
v = 12 ms-1
(b) गति के तीसरे समीकरण के अनुसार,
v2 – u2= 2as (जहाँ बस द्वारा तय की गई दूरी s है )
(12)2 – (0)2 = 2(0.1) s
s = 720 m
बस द्वारा प्राप्त की गई चाल 12 m/s है|
बस द्वारा तय की गई दूरी 720 m है|
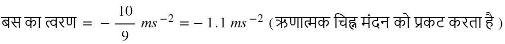
– रेलगाड़ी की प्रारंभिक चाल, u = 90 km/h-1 = 25 ms-1
रेलगाड़ी की अंतिम चाल, v = 0 (अंत में रेलगाड़ी विरामावस्था में होती है)
त्वरण, a = -0.5 ms-2
गति के तीसरे समीकरण के अनुसार,
v2 = u2+ 2 as
(0)2 = (25)2 + 2 (- 0.5) s
जहाँ रेलगाड़ी द्वारा तय की गई दूरी s है|
S = 252/2(0.5) = 625 m
रेलगाड़ी विरामावस्था में आने के पहले 625 m दूरी तय करेगी|
ट्रॉली का प्रारंभिक वेग, u = 0 cm s-1
त्वरण, a = 2 m s-2
समय, t = 3 s
हम जानते हैं कि ट्रॉली का अंतिम वेग, v = u + at = 0 + 2×3 ms-1
इसलिए गति प्रारंभ करने के 3 s के पश्चात् ट्रॉली का वेग = 6 ms-1
कार का प्रारंभिक वेग,
u = 0 ms-1
त्वरण, a = 4 ms-2
समय, t = 10 s
हम जानते हैं, दूरी s = ut + (1/2) at2
इसलिए गति प्रारंभ करने के 10 s के पश्चात् कार द्वारा तय की गई दूरी = 0 × 10 + (1/2) × 4 × 102
= 0 + (1/2) × 4 × 10 × 10 m
= (1/2) × 400 m
= 200 m
दिया गया है,
पत्थर का प्रारंभिक वेग, u = 5 ms-1
नीचे की ओर ऋणात्मक त्वरण, a = 10 ms-2
हम जानते हैं कि 2 as = v2- u2
इसलिए, पत्थर के द्वारा प्राप्त की गई ऊँचाई, s = 2 × 02/52 × (-10) m
= (-25)/(-20) m
= 1.25 m
हम यह भी जानते हैं कि अंतिम वेग, v = u + at
या, t = (v-u)/a
इस प्रकार, पत्थर के ऊँचाई तक पहुँचने में लगा समय, t = (0-5)/(-10) = 0.5 s
अभ्यास के प्रश्न

40 s में तय की गई कुल दूरी = ![]()
1 s में तय की गई कुल दूरी =![]()
140 s में तय की गई कुल दूरी = ![]()
= 2200 m
विस्थापन = AB = 200 m
(a) सिरे A से सिरे B तक (b) सिरे A से सिरे C तक हल :
रास्ते की लम्बाई = 300 m
(a) सिरे A से सिरे B तक
कुल दुरी = 300 m
कुल समय = 2 min 50 s = 170 s

= 17.60 ms-1

(b) सिरे A से सिरे C तक औसत चाल
कुल दुरी = 300 +100 = 400 m
कुल समय = 2 min 50 s 1.00 min
= 3 min 50 s = 230 s

मान लो दूरी = L
.:. जाने + आने में तय कुल दूरी = L+ L = 2L
स्कूल जाने में लगा समय = ![]()
स्कूल से आने में लगा समय = ![]()
कुल समय =
=
= ![]()
औसत चाल = 
जाने की चाल = 20 km h1
आने की चाल = 40 km h1
औसत चाल = ![]()
= 26.67 km h-1
u = 0
a = 3.0 ms-2
t = 8.0 s
s = ?
s = ut + 1/2 at-2
s = 0×8 + (1/2)3.0 × (8)2
s= 0+(1/2) × 3 × 64m
s = 96 m
पहली गाड़ी के द्वारा तय दूरी
s1 = 1/2 x OD x OA
= 1/2 x 52 x 5/3600 x 1000 m
s1 = 36.11 m

दूसरी गाड़ी के द्वारा तय दूरी
s2 = 1/2 x OC x OB
s2 = 1/2 x 30 x 10/3600 x 1000 m
s1 = 47.22 m
ग्राफ से स्पष्ट है कि दूसरी गाड़ी अधिक दूरी तक जाएगी।
दूरी में अंतर = 47.22 – 36.11
= 11.11 m
(a) तीनों में से कौन सबसे तीव्र गति से गतिमान है ?
(b) क्या ये तीनों किसी भी समय सड़क के एक ही बिंदु पर होंगे ?
(c) जिस समय B, A से गुजरती है उस समय तक C कितनी दूरी तय कर लेती है ?
(d) जिस समय B, C से गुजरती है तो उस समय तक यह कितनी दूरी तय कर लेती है ?
(क) B सबसे तेज़ चल रहा है क्योंकि इसके समय ग्राफ की ढाल A और C की अपेक्षा अधिक है।

(ख) नहीं होंगे। ये तीनों सड़क पर तभी मिल सकते हैं यदि उनको दर्शाने वाले समय दूरी के ग्राफ एक बिंदु पर मिले पर ऐसा है नही। तीनों ग्राफ किसी एक बिंदु पर नहीं मिलते।
(ग) जब B तथा A एक-दूसरे को मिलते हैं उस समय C मूल बिंदु से 9 Km दूर है।
(घ) जब B, C से गुज़रती है उस समय तक ये 6 km दूरी तय कर लेते हैं।
h = 20 m
u = 0
g = 10 ms-2
1 = ?
v = ?
v – u = 2gs
v-12 = 2gs
v2 – (0)2 = 2 (10) x 20
v2 = 400
v = 20
v = 20 ms-1
v = u + gt
20 = 0 + 10 x t
10t = 20
t = 20/10 = 2 s
(a) पहले 4 s में कार कितनी दूरी तय करती है ? इस अवधि में कार द्वारा तय की गई दूरी को ग्राफ में छायांकित क्षेत्र द्वारा दर्शाइए। |
(b) ग्राफ का कौन-सा भाग कार की एकसमान गति को दर्शाता

उत्तर- (a) पहले 4 s में कार 6 m दूरी तय करती है।

(b) सरल रेखा कार की एक समान गति को दर्शाता है।
(a) कोई वस्तु जिसका त्वरण नियत हो परन्तु वेग शून्य हो।
(b) कोई वस्तु किसी निश्चित दिशा में गति कर रही हो तथा त्वरण उसके लंबवत् हो।
(a) हाँ, यह स्थिति संभव है। जब किसी वस्तु को पृथ्वी तल से ऊपर की ओर फेंका जाता है तो अधिकतम ऊँचाई पर वस्तु का वेग शून्य होता है परंतु त्वरण स्थिर रहता है।

(b) हाँ, प्रक्षेप्य की अधिकतम ऊँचाई पर वेग क्षैतिज दिशा में होता है तथा त्वरण लंबवत् दिशा में जैसा कि चित्र में दिखाया गया है।
कृत्रिम उपग्रह के वृत्ताकार पथ की त्रिज्या (r) = 42250 कि० मी०
पृथ्वी के केंद्र पर बना कोण (θ) = 2π रेडियन
पृथ्वी का एक चक्कर लगाने में उपग्रह द्वारा लिया गया समय (t) = 24 घंटे = 24 x 3600 सेकंड = 86400 सेकंड
अतः कोणीय वेग (w) = θ/t = 2π/86400 rad/s
उपग्रह का रैखिक वेग (v) = r.w.
= 42250 x 2π/86400 km/s
= 42250 x 2x 3.14 /86400km/s
= 3.07 km/s उत्तर
इस पोस्ट में आपको नसरत सोलूशन्स फॉर क्लास 9th साइंस चैप्टर – 8 गति, एनसीईआरटी समाधान कक्षा 9 विज्ञान अध्याय 8. गति Science in Hindi for Class 9th: Ch 8 गति ncert solutions for class 9 science chapter 8 pdf ,motion chapter class 9 notes ,Solutions for Class 9 Science Chapter 8 Motion, NCERT Solutions for Class 9th Science Chapter 8 Motion, Notes for Class 9 Science chapter 8. गति in hindi से संबंधित पूरी जानकारी दी गई है अगर इसके बारे में आपका कोई भी सवाल या सुझाव हो तो नीचे कमेंट करके हम से जरूर पूछें और अगर आपको यह जानकारी फायदेमंद लगे तो अपने दोस्तों के साथ शेयर जरूर करें.
NCERT Solutions for Class 9 Science (Hindi Medium)
- Class 9th Science Chapter 1 हमारे आस-पास के पदार्थ
- Class 9th Science Chapter 2 क्या हमारे आस-पास के पदार्थ शुद्ध हैं
- Class 9th Science Chapter 3 परमाणु एवं अणु
- Class 9th Science Chapter 4. परमाणु की संरचना
- Class 9th Science Chapter 5.जीवन की मौलिक इकाई
- Class 9th Science Chapter 6. ऊतक
- Class 9th Science Chapter 7. जीवों में विविधता
- Class 9th Science Chapter 8. गति
- Class 9th Science Chapter 9 .बल तथा गति के नियम
- Class 9th Science Chapter 10. गुरुत्वाकर्षण
- Class 9th Science Chapter 11. कार्य तथा ऊर्जा
- Class 9th Science Chapter 12. ध्वनि
- Class 9th Science Chapter 13. हम बीमार क्यों होते हैं ?
- Class 9th Science Chapter 14. प्राकृतिक संपदा
- Class 9th Science Chapter 15. खाद्य संसाधनों में सुधार