Class 9th Science Chapter 10. गुरुत्वाकर्षण
NCERT Solutions For Science Class 9th Chapter 10. गुरुत्वाकर्षण – नौवीं कक्षा के लिए हर साल लाखों विद्यार्थी परीक्षा देते है .जिसमे से बहुत से विद्यार्थी अच्छे अंक प्राप्त नही कर पाते ,जिसमे अधिकतर विद्यार्थी Science के होते है .बहुत से विध्यार्थियों को Science अच्छे से समज में नही आती ,जिससे वह Science में अच्छे अंक प्राप्त नही कर पाते .इसलिए आज हमने इस पोस्ट में एनसीईआरटी कक्षा 9th विज्ञान अध्याय 10 (गुरुत्वाकर्षण) के लिए सलूशन दिया गया है, जोकि एक आसन भाषा में है .हमारी वेबसाइट पर 9th क्लास के सभी अध्याय के सलूशन दिए है .इन सलूशन से आप अपनी परीक्षा की तैयारी अच्छे से कर सकते है .
पाठ्य-पुस्तक के प्रश्न (Textual Questions)
उत्तर- इस विश्व का प्रत्येक पिंड दूसरे पिंड को एक बल से अपनी ओर आकृष्ट करता है जो दोनों पिंडों के द्रव्यमानों के गुणनफल के समानुपाती होता है तथा उनके बीच की दूरी के वर्ग के व्युत्क्रमानुपाती होता है।
यह बल दोनों पिंडों को परस्पर मिलाने वाली रेखा की दिशा में लगता है।
 
F = गुरुत्वाकर्षण बल
M = पृथ्वी का द्रव्यमान
M = वस्तु का द्रव्यमान
d = पृथ्वी और वस्तु के बीच की दूरी
G = सार्वत्रिक गुरुत्वाकर्षण स्थिरांक
उत्तर – मान लो पृथ्वी तथा उसकी सतह पर रखी दो पिंडों A और B का द्रव्यमान क्रमशः M तथा m है। वे एक-दूसरे से ‘d दूरी पर स्थित हैं। दोनों के बीच आकर्षण बल F है। गुरुत्वाकर्षण के सार्वत्रिक नियमानुसार दोनों पिंडों के बीच लगने वाला बल उनके द्रव्यमानों के गुणनफल के समानुपाती है।
F ∝ M x m …… (1)
दोनों पिंडों के बीच लगने वाला बल उनके बीच की दूरी के वर्ग के व्युत्क्रमानुपाती है। |
 …… (2)
 …… (2)
(1) और (2) से

या

जहां ‘G’ एक आनुपातिक स्थिरांक है और इसे सार्वत्रिक गुरुत्वीय स्थिरांक कहते हैं। वज्र-गुणन करने से
F x D2 = GM x m
इसमें बल, दूरी और द्रव्यमान के मात्रक रखने से G के SI मात्रक होते हैं, जो Nm2/kg-2हैं।
उत्तर- पृथ्वी वस्तुओं को अपनी ओर आकर्षित करती है। जब वस्तुएं पृथ्वी पर गुरुत्वीय बल के कारण गिरती हैं। तब कहा जाता है कि वस्तुएं मुक्त पतन में हैं। गिरती हुई वस्तुओं की दिशा में परिवर्तन नहीं होता पर पृथ्वी के आकर्षण के कारण वेग के परिमाण में परिवर्तन होता है।
उत्तर- जब कोई वस्तु पृथ्वी की ओर गिरती है तब त्वरण कार्य करता है। यह त्वरण पृथ्वी के गुरुत्वीय बल के कारण होता है। इस त्वरण को पृथ्वी के गुरुत्वीय बल के कारण गुरुत्वीय त्वरण कहते हैं। इसे ‘g’ से निर्दिष्ट करते हैं। ‘g’ के मात्रक m s2 हैं।
गति के दूसरे नियम के अनुसार द्रव्यमान तथा त्वरण का गुणनफल है। यदि किसी पत्थर का द्रव्यमान m है और उस पर गुरुत्वीय बल के कारण त्वरण लगता है तो गुरुत्वीय बल का परिमाण F, द्रव्यमान तथा गुरुत्वीय त्वरण के गुणनफल के बराबर होगा,
F = mg
समीकरणों से हमें प्राप्त होता है।

या

जहां पर M पृथ्वी का द्रव्यमान है तथा d वस्तु तथा पृथ्वी के बीच की दूरी है।
यदि कोई वस्तु पृथ्वी पर या इसकी सतह के पास है तो दूरी 4, पृथ्वी की त्रिज्या R के बराबर होगी। जिस कारण पृथ्वी की सतह पर या इसके समीप रखी वस्तुओं के लिए,
 

उत्तर
| भार (Weight) | द्रव्यमान (Mass) | 
| (1) भार वह बल है जिससे वस्तु पृथ्वी के केंद्र की ओर आकर्षित होती है। (2) भार एक सदिश राशि है। (3) यह अचर राशि नहीं, अपितु एक स्थान से दूसरे स्थान पर बदलती रहती है। (4) भार को सिंप्रग तुला से मापा जाता है। (5) वस्तु का भार पृथ्वी के केंद्र पर शुन्य हो सकता है |(अर्थात् ४ = 0)। (6) इसे न्यूटन या किलोग्राम में मापा जाता है। | (1) द्रव्यमान वस्तु में विद्यमान पदार्थ की मात्रा है। (2) द्रव्यमान एक अदिश राशि है। (3) यह एक अचर राशि है। (4) द्रव्यमान को दंड तुला से मापा जाता है। (5) वस्तु का द्रव्यमान कभी भी शून्य नहीं हो सकता। (6) इसे किलोग्राम भार में मापा जाता है। | 
उत्तर- चंद्रमा का द्रव्यमान पृथ्वी की अपेक्षा छः गुणा कम है जिस कारण चंद्रमा वस्तुओं पर छः गुणा कम आकर्षण बल लगाता है इसलिए किसी वस्तु का चंद्रमा पर भार पृथ्वी पर इसके भार का ६ गुणा होता है।
उत्तर- यदि स्कूल बैग एक पतली और मज़बूत डोरी से बने पट्टे की सहायता से उठाया जाए तो प्रणोद के कारण यह का अति कठिन होगा, स्कूल बैग हाथ या कंधे पर लंबवत् और अपेक्षाकृत छोटे क्षेत्रफल पर प्रभाव डालेगा जो कष्टकारी होगा
 
उत्तर- जब किसी वस्तु को पानी में डुबोते हैं तो उस पर पानी द्वारा ऊपर की ओर लगाया जाने वाला बल उत्प्लावकता कहलाता है।
उत्तर- (i) यदि पानी की सतह पर रखी गई वस्तु का घनत्व पानी के घनत्व से कम होगा तो वह वस्तु तैरती रहेगी।
(ii) यदि पानी की सतह पर रखी गई वस्तु का घनत्व पानी के घनत्व से अधिक होगा तो वस्तु डूब जाएगी।
(iii) यदि वस्तु का घनत्व पानी के घनत्व के बराबर होगा तो वस्तु बीचो-बीच तैरती रहेगी।
उत्तर- हमारा द्रव्यमान 42 kg से कम होगा क्योंकि इसमें वायु का उत्प्लावन बल भी जुड़ा हुआ है।
W ∞ m
उत्तर- रुई के बोरे पर वायु का उत्प्लावन बल उसके अधिक आयतन के कारण लोहे की अपेक्षा अधिक होगा इसलिए वह वास्तव में लोहे से अधिक भारी होगा।
अभ्यास के प्रश्न
उत्तर – अतः जब दो वस्तुओं के बीच की दूरी को आधा कर दिया जाएगा तो गुरुत्वाकर्षण बल चार गुणा हो जाएगा।
उत्तर- वस्तु के प्रतिरोध के कारण एक भारी वस्तु हल्की वस्तु के मुकाबले तेजी से नीचे नहीं गिरती । हल्की वस्तु पर लगने वाला वायु का प्रतिरोध भारी वस्तु पर लगने वाले प्रतिरोध से अधिक होता है।
हल :
m1 = 1 kg
m2 = 6 x 1024 kg
r = 6.4 x 106 m
G = 6.67×10-11Nm2/kg-2
 

उत्तर- पृथ्वी तथा चंद्रमा एक-दूसरे को जिस गुरुत्वीय बल से आकर्षित करते हैं वे बल बराबर हैं। दोनों का गुरुत्वीय बल क्रिया और प्रतिक्रिया बल है।
उत्तर- चंद्रमा और पृथ्वी दोनों एक दूसरे को न्यूटन की गति के तीसरे नियम के आधार पर बराबर और विरोधी बल से आकर्षित करते हैं।
 
चंद्रमा की तुलना में पृथ्वी का द्रव्यमान बहुत अधिक है इसलिए चंद्रमा की ओर पृथ्वी का त्वरण लगभग नगण्य है।
(i) एक वस्तु के बीच की दूरी दो गुनी अथवा तीन गुनी कर दी जाए।
(ii) दोनों वस्तुओं के द्रव्यमान दोगुने कर दिए जाएं ?
उत्तर- हम जानते हैं कि
 
(i) किसी वस्तु का m1 या m2 दो गुना या तीन गुना कर दिया जाए तो F भी दो गुना या तीन गुना हो जाएगा। (ii) जब m1 और m2 को दोगुना कर दिया जाए तो F चार गुणा हो जाएगा।
उत्तर- गुरुत्वाकर्षण का सर्वात्रिक नियम अनेक ऐसी परिघटनाओं की सफलतापूर्वक व्याख्या करता है जो कभी असंबंधित मानी जाती थीं
(i) इसी बल के कारण हम पृथ्वी पर बंधे रहते हैं।
(ii) पृथ्वी के चारों ओर चंद्र की गति होती है।
(iii) सूर्य के चारों ओर ग्रहों की गति होती है।
(iv) चंद्रमा तथा सूर्य के कारण समुद्रों में ज्वार-भाटा आता है।
(v) कृत्रिम उपग्रहों को पृथ्वी के चारों ओर चक्र लगाने के लिए अभिकेंद्री बल इस के कारण प्राप्त होता है।
उत्तर- मुक्त पतन का त्वरण वही है जो पृथ्वी के गुरुत्वीय बल के कारण त्वरण है। इसे ‘g’ से निर्दिष्ट करते हैं। और इसका मात्रक m s s-2 है।
उत्तर- पृथ्वी तथा किसी वस्तु के बीच गुरुत्वीय बल को गुरुत्वीय त्वरण कहेंगे तथा इसे ‘g’ से निर्दिष्ट करेंगे जिस का मात्रक m s-2 होगा।
उत्तर- ध्रुवों पर ‘g’ का मान अधिक है और विषुवत् वृत्त पर कम, जिस कारण ध्रुवों पर किसी वस्तु का भार अधिक होगा और विषुवत् वृत्त पर कम। जब एक व्यक्ति A अपने मित्र के निर्देश पर ध्रुवों पर कुछ ग्राम सोना खरीदेगा और विषुवत् वृत्त पर अपने मित्र को देगा तो वह उस सोने के भार से संतुष्ट नहीं होगा क्योंकि वह कम हो
उत्तर- कागज़ की शीट और उसी प्रकार की शीट को मोड़ कर बनाई गई गेंद का द्रव्यमान चाहे समान है पर कागज़ की शीट पर लगने वाला वायु का प्रतिरोध उस के फैले हुए आकार के कारण कागज़ की शीट से बनी गेंद से अधिक होगा जिस कारण कागज की शीट गेंद की तुलना में धीमी गति से गिरती है।
उत्तर- पृथ्वी पर वस्तु का भार m = 10 kg
चंद्रमा पर वस्तु का भार m = 10 x ⅙ = 5/3 kg
पृथ्वी पर भार  W = mg
= 10 x 9.8 = 98 N
चंद्रमा पर भार  W = mg



(i) अधिकतम ऊंचाई जहां तक गेंद पहुंचती है।
(ii) पृथ्वी की सतह पर वापस लौटने में लिया गया कुल समय।
हल :
u = 49 m/s
v = 0
g = – 9.8 ms-2
(पृथ्वी तल से विपरीत दिशा में जाने के कारण ऋणात्मक चिह्न)
h = ?
t = ?
v2-u2=2 gh
(0)2 – (49)2 =2 (-9.8) x h


अब गेंद को ऊपर जाने में लगा समय
v = u + gt
0 = 49 + (- 9.8) x t
– 49 = – 9.8 x t
 
गेंद को लगा कुल समय = 5 + 5 = 10 S
हल :
h = 19.6m
u = 0 ms-1
v = ?
g = 9.8 ms-2
v² = u² + 2gh
v² – (0)² = 2 × 9.8 × 19.6
v²= 2 × 9.8 × 19.6



v = 19.6 m
हल : पत्थर का प्रारंभिक वेग (u) = 40 m s-1
गुरुत्वीय त्वरण (g) = – 10 m s-2
अधिकतम ऊंचाई पर वेग (v) = 0
हमें ज्ञात है कि
v = u + gt
v = 40 – 10 x t
0 = 40 = – 10t
– 40 = 10r
t = 4 s
.:. 4 sec के बाद पत्थर अधिकतम ऊंचाई प्राप्त कर लेगा।
समीकरण (1) में t का मान 1 s, 2 s, 3 s, 4 s रखने से वेग तालिका प्राप्त होगी।
| समय सेकंडों में | 1 | 2 | 3 | 4 | 
| वेग ms-1 | 30 | 20 | 10 | 0 | 
ग्राफ से अधिकतम दूरी = OAB का क्षेत्रफल
क्षेत्र० = ½ x OB x OA
 
= ½ x 4 x 40
= 80
.:. अधिकतम ऊंचाई = 80 m
पत्थर पृथ्वी से ऊपर फेंका गया और वहीं वापिस आ गिरा।
.:. नेट विस्थापन = 0
पत्थर द्वारा तय की गई कुल दूरी = ऊपर जाना + नीचे आना
= 80 + 80
= 160 m
हल : पृथ्वी का द्रव्यमान = 6 × 1024 kg
सूर्य का द्रव्यमान = 2 × 1030 kg
d = 1.5 × 1011m
 
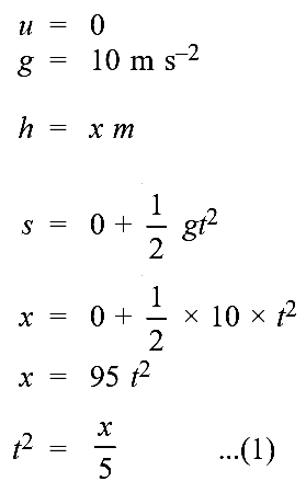
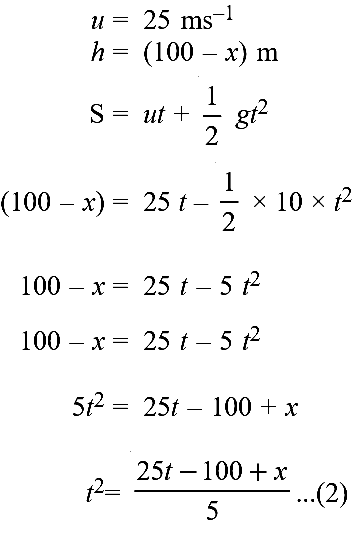
हल : पत्थर ऊपर से नीचे की ओर
मान लो पत्थर A से चल कर C तक पहुंचा था और उसने ‘x’ दूरी तय की थी।

पत्थर नीचे से ऊपर की ओर

(a) यह किस वेग से ऊपर फेंकी गई,
(b) गेंद द्वारा पहुँची गई अधिकतम ऊंचाई; तथा
(c) 4s पश्चात् गेंद की स्थिति।
हल : गेंद को जितना समय ऊपर जाने में लगा उतना ही उसे वापिस लौटने में लगा।
… गेंद को ऊपर जाने में लगा समय = 3 s
(i) u = ?
a = – g = – 9.8 m s-1
t = 3 s
V = 0
S = h
V = u + at
0 = u – 9.8 x 3
0 = u – 29.4
u = 29.4 m S-1
(ii) v2 – u2 = 2gh
0 = (29.4)2 = 2 (-9.8) h
-29.4 x 29.4 = -19.6 h

h = 44.1 m
(iii) 3 सेकंड बाद गेंद वापिस गिरने लगेगी।
u = 0
a = 9.8 ms-1
t = 4 – 3 = 1



∴ नीचे से गेंद की ऊंचाई = 44.1 – 4.9 = 39.2 m
उत्तर- किसी द्रव में डुबोई गई वस्तु उत्प्लावन बल ऊपर की दिशा में कार्य करता है।
उत्तर- जब किसी प्लास्टिक के गुटके को पानी के भीतर छोड़ते हैं तो यह पानी की सतह पर आ जाता है क्योंकि प्लास्टिक का घनत्व पानी के घनत्व से कम है। प्लास्टिक पर पानी का उत्प्लावन बल प्लास्टिक के भार से अधिक है। इसलिए वह पानी की सतह पर आ जाता है।
उत्तर- 50 g पदार्थ का आयतन = 20 cm³
.:. 1 g पदार्थ का आयतन = 50/20 g cm-3= 2.5 g cm-3
पदार्थ पानी में डूब जाएगा क्योंकि पानी का घनत्व 1 g cm-3है।
पानी का उत्प्लावन बल पदार्थ के भार से कम है।
उत्तर – M = 500 g
V = 350 cm³
पैकेट का घनत्व = M/V = 500/300 = 10/7
= 1.428 g cm-3
पैकेट का घनत्व 1.428 g cm-3 है लेकिन पानी का घनत्व 1 g cm-3है।
.:. पैकेट डूब जाएगा।
पैकेट के द्वारा विस्थापित पानी = 350 cm³
विस्थापित पानी का द्रव्यमान = V x D
= 350 x 1
= 350 g
इस पोस्ट में कक्षा 9 विज्ञान पाठ 10 गुरुत्वाकर्षण, नसरत सोलूशन्स फॉर साइंस क्लास 9th चैप्टर 10. गुरुत्वाकर्षण ,Science in Hindi for Class 9th: Ch 10 गुरुत्वाकर्षण ,NCERT class 9 science solutions for Chapter 10 Gravitation ,gravitation class 9 ncert notes pdf ,gravitation chapter class 9 questions Class 9 Science notes on chapter 10 ‘Gravitation’ Notes of Class 9th: Ch 10 गुरुत्वाकर्षण विज्ञान गुरुत्वाकर्षण नोट्स Class 10 से संबंधित काफी महत्वपूर्ण जानकारी दी गई है यह जानकारी फायदेमंद लगे तो अपने दोस्तों के साथ शेयर करें और इसके बारे में आप कुछ जानना यह पूछना चाहते हैं तो नीचे कमेंट करके अवश्य पूछे.
NCERT Solutions for Class 9 Science (Hindi Medium)
- Class 9th Science Chapter 1 हमारे आस-पास के पदार्थ
- Class 9th Science Chapter 2 क्या हमारे आस-पास के पदार्थ शुद्ध हैं
- Class 9th Science Chapter 3 परमाणु एवं अणु
- Class 9th Science Chapter 4. परमाणु की संरचना
- Class 9th Science Chapter 5.जीवन की मौलिक इकाई
- Class 9th Science Chapter 6. ऊतक
- Class 9th Science Chapter 7. जीवों में विविधता
- Class 9th Science Chapter 8. गति
- Class 9th Science Chapter 9 .बल तथा गति के नियम
- Class 9th Science Chapter 10. गुरुत्वाकर्षण
- Class 9th Science Chapter 11. कार्य तथा ऊर्जा
- Class 9th Science Chapter 12. ध्वनि
- Class 9th Science Chapter 13. हम बीमार क्यों होते हैं ?
- Class 9th Science Chapter 14. प्राकृतिक संपदा
- Class 9th Science Chapter 15. खाद्य संसाधनों में सुधार
Kashish sain