उत्तर- विद्युत् लैंप का प्रतिरोध = R1= 100Ω
विद्युत् टोस्टर का प्रतिरोध = R2=50Ω
विद्युत् जल फिल्टर का प्रतिरोध = R3 =500Ω
तीनों में से प्रवाहित विद्युत्धारा,
यदि विद्युत् इस्तरी को उसी स्रोत के साथ संयोजित कर दें तो उसमें से भी समान विद्युत् धारा I प्रवाहित होती है। इसलिए,
इस्तरी का प्रतिरोध = Rp =125/4 Ω = 31.25 Ω
तो विद्युत् इस्तरी में प्रवाहित होने वाली विद्युत्धारा = 7.04 A
उत्तर- श्रेणीक्रम के स्थान पर वैद्युत युक्तियों को पार्श्वक्रम में संयोजित करने के लाभ
(1) पार्श्वक्रम में संयोजित उपकरणों में से किसी एक के खराब होने की स्थिति में भी अन्य उपकरण कुशलता से कार्य करते रहते हैं।
(2)पार्श्वक्रम में संयोजित सभी उपकरणों के लिए अलग अलग स्विच लगाया जा सकता है ताकि आवश्यकतानुसार किसी को भी ऑन या ऑफ किया जा सके।
(2) पार्श्वक्रम में संयोजित सभी उपकरण वोल्टेज के विभक्त नहीं होने के कारण सुचारू रूप से कार्य करते हैं।
उत्तर- a) कुल प्रतिरोध 4Ω के लिए उपरोक्त तीन प्रतिरोधों को इस प्रकार जोड़ना चाहिए 3Ω को 6Ω को पार्श्व क्रम में जोड़ने पर
प्रतिरोध =
अब इस कुल प्रतिरोध को 2Ω वाले प्रतिरोध के साथ श्रेणीक्रम में लगाने पर
कुल प्रतिरोध = 2Ω + 2Ω = 4Ω

(b) 12 का प्रतिरोध पाने के लिए 22, 32 तथा 692 को पावं क्रम में लगाना पड़ेगा। इससे कुल प्रतिरोध होगा

उत्तर- (a) यदि इन चारों प्रतिरोधों को श्रेणीक्रम में रखा जाए तो अधिकतम प्रतिरोध प्राप्त होगा
Rs = 4 Ω + 8Ω + 12Ω+ 24 Ω = 48Ω
(b) न्यूनतम प्रतिरोध पाने के लिए उपरोक्त चारों प्रतिरोधों को पार्श्वक्रम में रखा जाएगा।
उत्तर- विद्युत् हीटर की डोरी कॉपर के मोटे तार की बनी होती है, जिसका प्रतिरोध उसके अवयव की उपेक्षा बहुत कम होता है। इसलिए यदि इन दोनों में से विद्युत् धारा प्रवाहित हो तो अवयव को तापन ( H = I2RT) डोरी के तापन की अपेक्षा बहुत अधिक होगा, इस प्रकार अवयव अत्यधिक गर्म होकर उत्तप्त होता है परंतु डोरी उत्तप्त नहीं होती क्योंकि वह अधिक गर्म नहीं होती।
उत्तर- Q = 96000 C, t = 1h = 60 x 60 = 3600s, V = 50 V
उत्पन्न ऊष्मा = QV = 96000C x 50 V = 4.8 x 106 जूल (J)
उत्तर- R = 20Ω, I = 5A, t = 30 s
ऊष्मा परिकलन = I2R/T= (5)2 x 20 x 30 = 15000 J (जूल) = 1.5 x 104 J
उत्तर- P = I2R विद्युत् धारा द्वारा प्रदत्त ऊर्जा की दर का निर्धारण विद्युतपथ के प्रतिरोध द्वारा किया जाता है।
उत्तर- I = 5 A, V = 220 V, 1 = 2h = 2 x 60 x 60 = 7200 s
शक्ति P = IV = 220 x 5 = 1100 W
2 घंटे में उपभुक्त ऊर्जा = 1100 W x2h = 2200 Wh
= 2.2 kWh
अभ्यास के प्रश्नों के उत्तर
(a) 1/25
(b) 1/5
(c) 5
(d) 25
उत्तर- एक टुकड़े का प्रतिरोध = R/5
पाँच टुकड़ों को पार्श्वक्रम में संयोजित करने पर प्रतिरोध

इस प्रकार (d) सही उत्तर है।
(a) I2R
(b) IR2
(c) VI
(d) v2/R
उत्तर- IR2
विद्युत् शक्ति
P = V = (IR)R = I2R
= V (V/R) = [V2/R]
केवल I2R विद्युत् परिपथ में विद्युत् शक्ति को निरूपित नहीं करता
विद्युत् शक्ति
P = V = (IR)R = I2R
= V (V/R) = [V2/R]
केवल I2R विद्युत् परिपथ में विद्युत् शक्ति को निरूपित नहीं करता
(a) 100 W
(b) 75 W
(c) 50 W
(d) 25 w
उत्तर- 25 W
विद्युत् बल्ब का प्रतिरोध ,
110 v पर प्रचालित होने पर बल्ब द्वारा उपभुक्त शक्ति,
(a) 1:2
(b) 2:1
(c) 1:4
(d) 4:1
उत्तर : 1 : 4
उत्तर- दो बिंदुओं के बीच विभवांतर मापने के लिए वोल्टमीटर को दोनों बिंदुओं के बीच में पार्श्वक्रम में संयोजित किया जाता है।
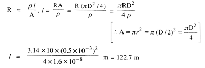
उत्तर- तार का व्यास, D = 0.5 mm = 0.5 x 103 m
कॉपर की प्रतिरोधकता, P = 1.6 x 10-8 Ω m
इच्छित प्रतिरोधकता, R = 10 Ω

यदि इससे दोगुना व्यास की तार लें तो अनुप्रस्थ काट का क्षेत्रफल चार गुणा हो जाएगा।
परंतु R ∝ l/A
.:. प्रतिरोध ¼ गुणा अर्थात् 10x ¼ =2.5Ω हो जाएगा।
| ( ऐंपियर) | 0.5 | 1.0 | 2.0 | 3.0 | 4.0 |
| (वोल्ट) | 1.6 | 3.4 | 6.7 | 10.2 | 13.2 |
V तथा I के बीच ग्राफ खींचकर इस प्रतिरोधक का प्रतिरोध ज्ञात कीजिए।
उत्तर :
V = 13.2 – 1.6 = 11.6 V
I = 4 – 0.5 = 3.5 A
R = V/A = 11.6/3.5 = 3.2 Ω
Thank you sir mai saheb ansari om ka niyam kya hai